标准品/对照品

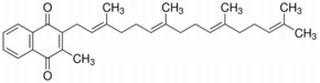
维生素K2 分析标准品,HPLC≥98% 11032-49-8
点击下载附件附件
QC25663 |
维生素K2 |
| 分析标准品,HPLC≥98% |
- 英文名:
- Menaquinone (K2)
- 别名:
- 四烯甲萘醌 甲萘醌 4 维生素 K2
- CAS号:
- 11032-49-8
- 分子式:
- C31H40O2
- 分子量:
- 444.65
- MDL:
- MFCD00079646


